ITCOW牛新网 4月29日消息,腾讯混元团队今日宣布开源专为移动端设计的离线翻译模型 Hy-MT1.5-1.8B-1.25bit。该模型通过极致量化技术,将支持 33 种语言的翻译大模型压缩至约 440MB,可直接在手机本地运行,官方宣称其翻译质量超越谷歌翻译等主流系统。

多语言支持与性能表现
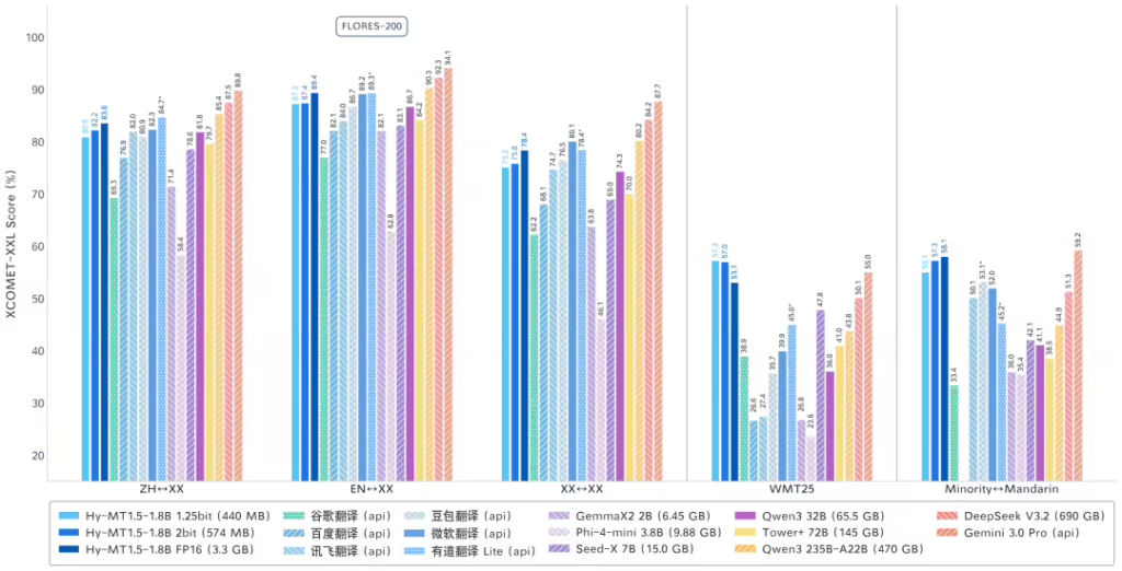
该模型基于混元翻译大模型 Hy-MT1.5 打造,原生支持 33 种语言、5 种方言及 1056 个翻译方向,覆盖中英日法等常见语种以及藏语、蒙古语等少数民族语言。尽管参数量仅为 1.8B,腾讯称其在严格评测中实现了比肩商业 API 和 235B 级大模型的效果,证明了轻量级模型在高效优化下的潜力。
极致压缩技术:从 3.3GB 到 440MB
为了解决原始 FP16 模型占用 3.3GB 内存、难以在手机端部署的问题,腾讯采用了两种极致量化方案:
- 2-bit 模型(约 574MB):采用拉伸弹性量化(SEQ)技术,在支持 Arm SME2 的设备上实现高效推理。
- 1.25-bit 模型(约 440MB):采用名为 Sherry(稀疏高效三值量化)的创新技术,该方案已被 ACL 2026 录用。其核心策略是每 4 个参数中,3 个重要参数用 1-bit 储存,1 个置零,平均每个参数仅需 1.25-bit。配合专为手机 CPU 设计的 STQ 内核,实现了体积与性能的平衡,让普通内存手机也能流畅运行高质量离线翻译。

本次开源发布了包含模型权重、代码及技术报告在内的完整资源,并提供了安卓 Demo 应用。该应用支持后台取词模式,可在本地处理邮件或网页内容,实现全离线、零网络请求、零数据上传的隐私安全翻译体验。目前体验版暂仅支持安卓平台,模型文件可通过魔搭社区(国内)或 Hugging Face(海外)下载。